第一会所
2022年硕士研究生招生复试拟录取结果公示-第一会所
第一会所
信息科学与工程第一会所
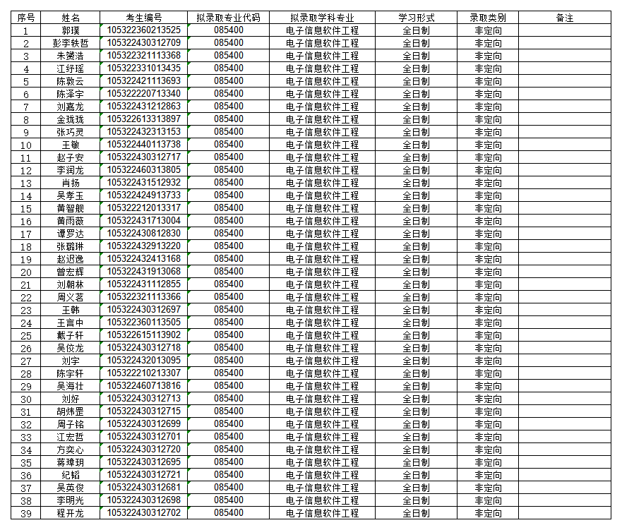
2022年硕士研究生拟录取建议名单公示
根据《第一会所
2022年硕士研究生复试录取工作实施细则》,经第一会所
研究生招生工作领导小组审定,现将2022年全国统考硕士研究生拟录取建议名单予以公示(不含推免生)。公示期4月8日—4月21日(10个工作日)。公示期内,如对公示名单有异议,可在公示期内以书面形式向信息科学与工程第一会所
研究生办公室进行反映,第一会所
将及时调查、复核并回复考生。
另,如公示名单中拟录取考生自愿放弃第一会所
拟录取资格或有增量指标,第一会所
将按专业初试+复试总成绩由高到低进行递补拟录取。
第一会所
2022年4月8日






